">
www.colliehof.de

   05955-989703
   0171-8640117
0151 - 207 855 30  PKW

animierte-flagge-deutschland animierte-flagge-daenemark
colliebanner_720__fuchs-premium
animierte-flagge-niederlande animierte-flagge-grossbritannien animierte-flagge-frankreich
Zuchtnummer eingeben: Anzahlung
Rainer Fuchs

Erstelle dein Profilbanner

-
Webutation
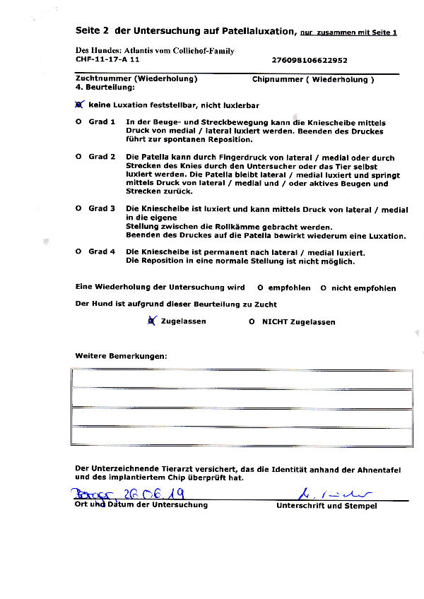
Atlantis - PL+OCD

Atlantis-PL-a

Atlantis-PL-b

Atlantis-OCD

 

www.colliehof.de
[Start] [Hündin] [Rüden] [Jungtiere] [Eltern] [Parents] [Nina] [Roxy] [Wolf] [Atlantis] [Alina] [Bettino] [Guiness] [Memory] [Leistungen] [Zubehör] [Hauptseite] [Urlaub + Pflege] [Recht + Steuer] [Impressum]
814high_premium_concept-bosch
logo